Ip bannie temporairement pour abus. En 2016 ce chiffre avait atteint 75 millions deuros.
Taux D Accroissement
Calcul taux d accroissement. Introduisez vos valeurs présentes et passées ainsi quune valeur pour n qui correspond au nombre dintervalles de temps dans votre tableau de données incluant les valeurs passées et présentes. Multiplions par 100 ce résultat et nous obtiendrons le taux de croissance en pourcentage soit 17 de. Mon chiffre daffaires en 2014 était de 523 000. Taux de croissance. Le taux de croissance est donc la variation en pourcentage entre ces deux grandeurs soit 100 7575100 3333. Please try again later.
Prenons le cas dune entreprise qui aurait fait un bénéfice de 10 000 en début de période votre valeur initiale est 10 000. This feature is not available right now. Pour calculer un taux de croissance vous avez obligatoirement besoin dune valeur initiale. Cours sur le calcul du taux daccroissement. En 2015 il était de 612 000. Les aspirateurs de sites consomment trop de bande passante pour ce serveur.
Le taux daccroissement naturel dune population représente le pourcentage daugmentation de cette population sur une année. Ce peut être la population dune commune un salaire le montant dun impôt au début de lannée dobservation. Un taux dévolution aussi appelé taux de variation est la variation exprimée en pourcent dune grandeur au cours du temps. Le taux de croissance est finalement de 3333. Taux d accroissement forum de mathématiques. Valeur initiale pourcentage de variation valeur finale exemple 1 suite on peut simplifier lopération 75 5 75 en effectuant une factorisation.
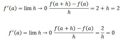
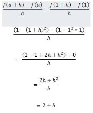
75 5 75 75 100 5. Le taux de croissance permet plusieurs calculs. Calculer des taux daccroissement qui dit taux daccroissement ou encore taux de croissance dit pourcentage aussi faut il shabituer à la gymnastique de la conversion des même si excel la facilite puisquil sait convertir un nombre en pourcentage et vice versa menu. On calcule le nombre dérivé à partir du taux daccroissement. Outils du moment dosage béton pneu été quotient familial covoiturage impôt 2020 emprunter coût au km moyenne bac2020 nombre de parpaing coût trajet taux variation béton tout prêt pourcentage taxe chomage et are jours fériés 2020 vitesse course à pied calcul. Taux de croissance 20142015 ca 2015 ca 2014 ca 2014 612 000 523 000 523 000 017.
On peut modifier la fonction et la valeur. Terminez votre calcul en utilisant les règles simples dalgèbre sans oublier lordre des opérations etc. Exempleje veux connaître le taux de croissance de mon chiffre daffaire ca sur la période 20142015. Calculez votre taux de croissance.















